Официальное опубликование правовых актов
ОФИЦИАЛЬНОЕ ОПУБЛИКОВАНИЕ
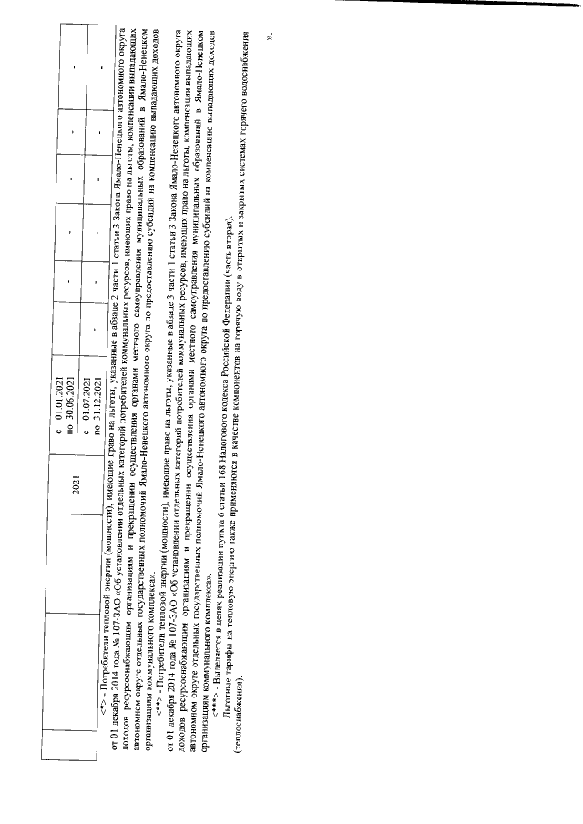
Приказ Департамента тарифной политики, энергетики и жилищно-коммунального комплекса Ямало-Ненецкого автономного округа от 05.12.2017 № 149-т
"О внесении изменений в приложения №№ 1, 2 к приказу департамента тарифной политики, энергетики и жилищно-коммунального комплекса Ямало-Ненецкого автономного округа от 09 декабря 2016 года № 210-т"
(Зарегистрирован 06.12.2017 № 392)
Номер опубликования: 8901201712070030
Дата опубликования: 07.12.2017
Страница №4 из 4:
Увеличить