Официальное опубликование правовых актов
ОФИЦИАЛЬНОЕ ОПУБЛИКОВАНИЕ
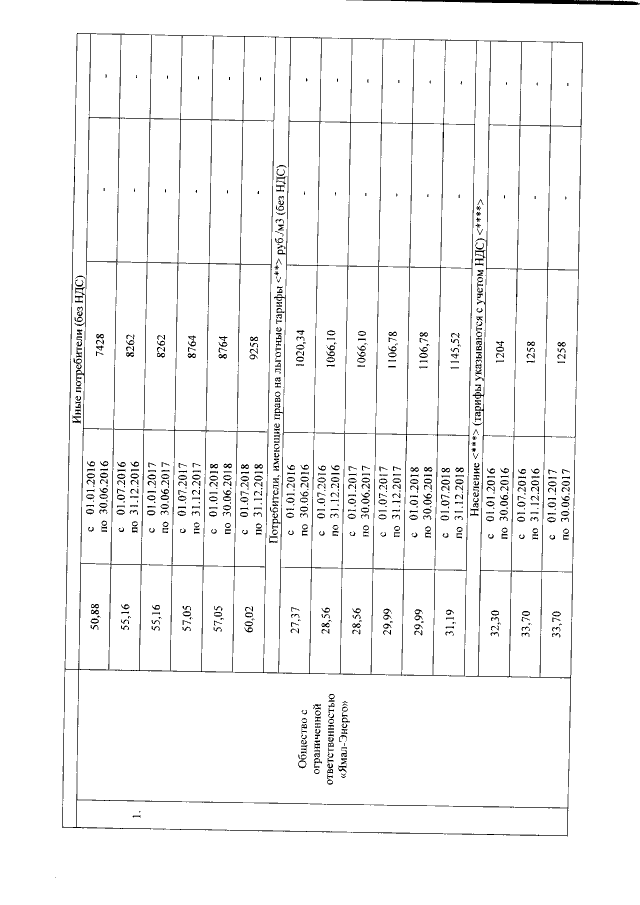
Приказ Департамента тарифной политики, энергетики и жилищно-коммунального комплекса Ямало-Ненецкого автономного округа от 05.12.2017 № 175-т
"О внесении изменений в приложение к приказу департамента тарифной политики, энергетики и жилищно-коммунального комплекса Ямало-Ненецкого автономного округа от 11 декабря 2015 года № 196-т"
(Зарегистрирован 07.12.2017 № 417)
Номер опубликования: 8901201712070010
Дата опубликования: 07.12.2017
Страница №3 из 4:
Увеличить