Официальное опубликование правовых актов
ОФИЦИАЛЬНОЕ ОПУБЛИКОВАНИЕ
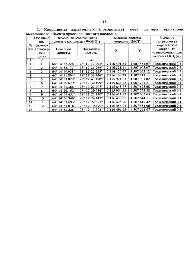
Приказ Службы государственной охраны объектов культурного наследия Ямало-Ненецкого автономного округа от 02.11.2017 № 176
"Об утверждении границ территорийвыявленных объектов археологического наследия"
(Зарегистрирован 03.11.2017 № 343)
Номер опубликования: 8901201711030003
Дата опубликования: 03.11.2017
Страница №20 из 25:
Увеличить