Официальное опубликование правовых актов
ОФИЦИАЛЬНОЕ ОПУБЛИКОВАНИЕ
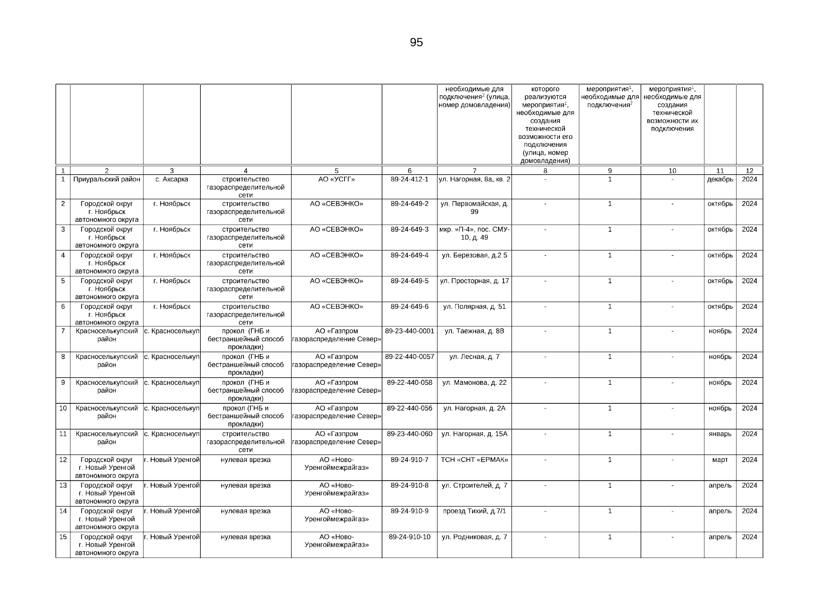
Постановление Губернатора Ямало-Ненецкого автономного округа от 04.03.2026 № 20-ПГ
"О внесении изменений в Комплексную региональную программу газификации жилищно-коммунального хозяйства, промышленных и иных организаций на территории Ямало-Ненецкого автономного округа на 2024 – 2033 годы"
Номер опубликования: 8900202603060009
Дата опубликования: 06.03.2026
Страница №96 из 185:
Увеличить