Официальное опубликование правовых актов
ОФИЦИАЛЬНОЕ ОПУБЛИКОВАНИЕ
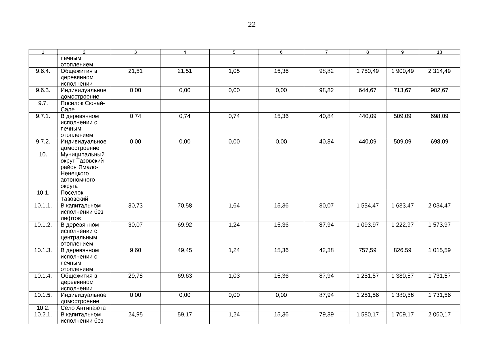
Постановление Правительства Ямало-Ненецкого автономного округа от 04.03.2026 № 108-П
"О внесении изменений в некоторые постановления Правительства Ямало-Ненецкого автономного округа"
Номер опубликования: 8900202603050006
Дата опубликования: 05.03.2026
Страница №23 из 27:
Увеличить