Официальное опубликование правовых актов
ОФИЦИАЛЬНОЕ ОПУБЛИКОВАНИЕ
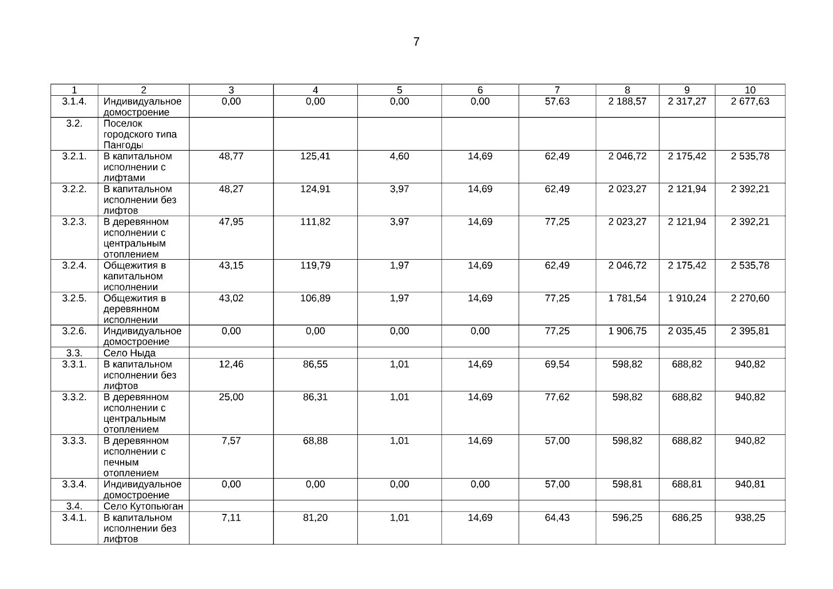
Постановление Правительства Ямало-Ненецкого автономного округа от 30.12.2025 № 767-П
"Об окружных стандартах стоимости жилищных и коммунальных услуг по Ямало-Ненецкому автономному округу на 2026 год"
Номер опубликования: 8900202512300033
Дата опубликования: 30.12.2025
Страница №8 из 24:
Увеличить