Официальное опубликование правовых актов
ОФИЦИАЛЬНОЕ ОПУБЛИКОВАНИЕ
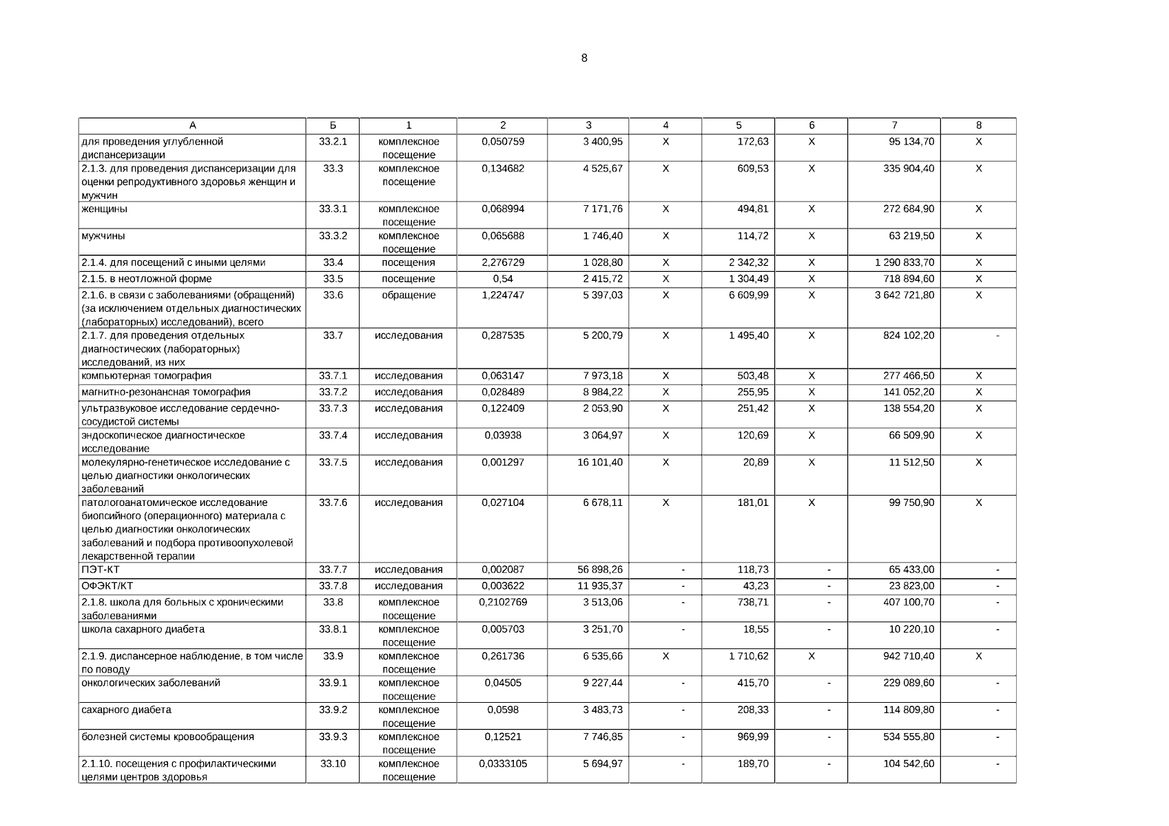
Постановление Правительства Ямало-Ненецкого автономного округа от 04.12.2025 № 659-П
"О внесении изменений в Территориальную программу государственных гарантий бесплатного оказания гражданам медицинской помощи на 2025 год и на плановый период 2026 и 2027 годов"
Номер опубликования: 8900202512080009
Дата опубликования: 08.12.2025
Страница №9 из 21:
Увеличить