Официальное опубликование правовых актов
ОФИЦИАЛЬНОЕ ОПУБЛИКОВАНИЕ
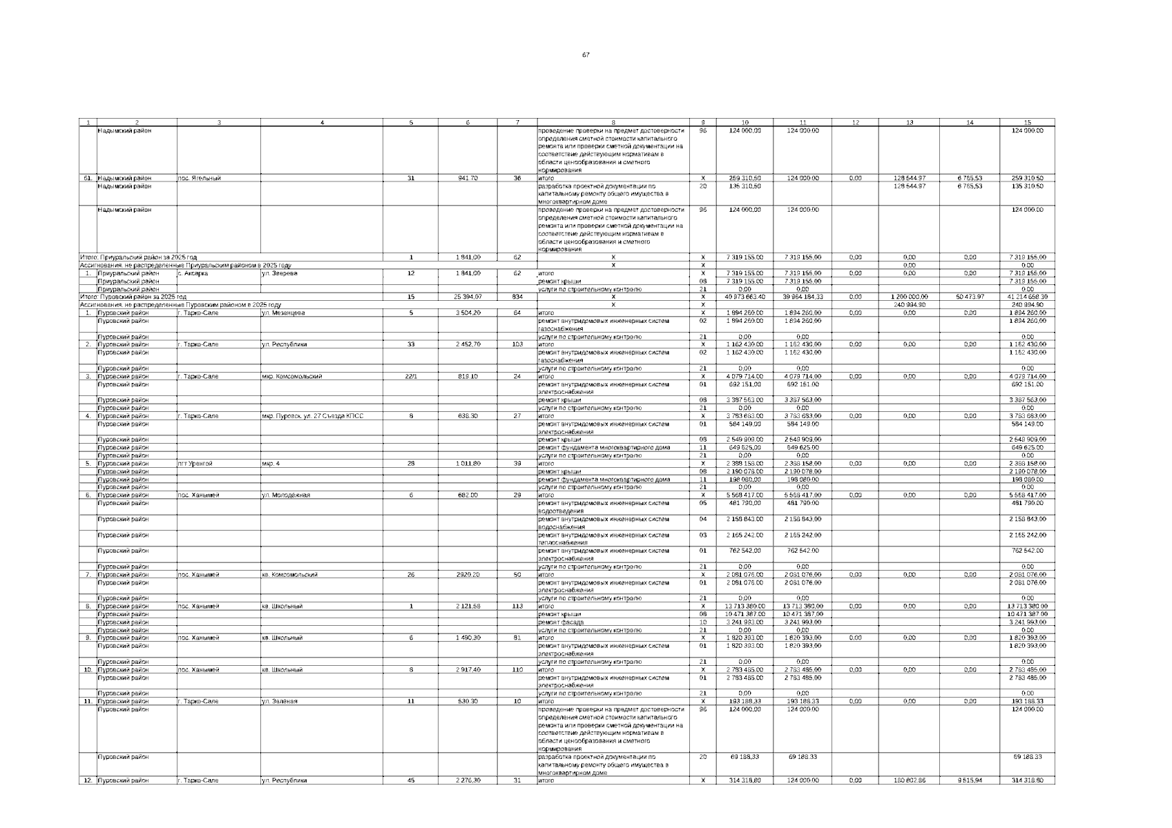
Постановление Правительства Ямало-Ненецкого автономного округа от 14.10.2025 № 546-П
"О внесении изменения в региональный краткосрочный план реализации региональной программы капитального ремонта общего имущества в многоквартирных домах, расположенных на территории Ямало-Ненецкого автономного округа, на 2023 – 2025 годы"
Номер опубликования: 8900202510170004
Дата опубликования: 17.10.2025
Страница №68 из 70:
Увеличить