Официальное опубликование правовых актов
ОФИЦИАЛЬНОЕ ОПУБЛИКОВАНИЕ
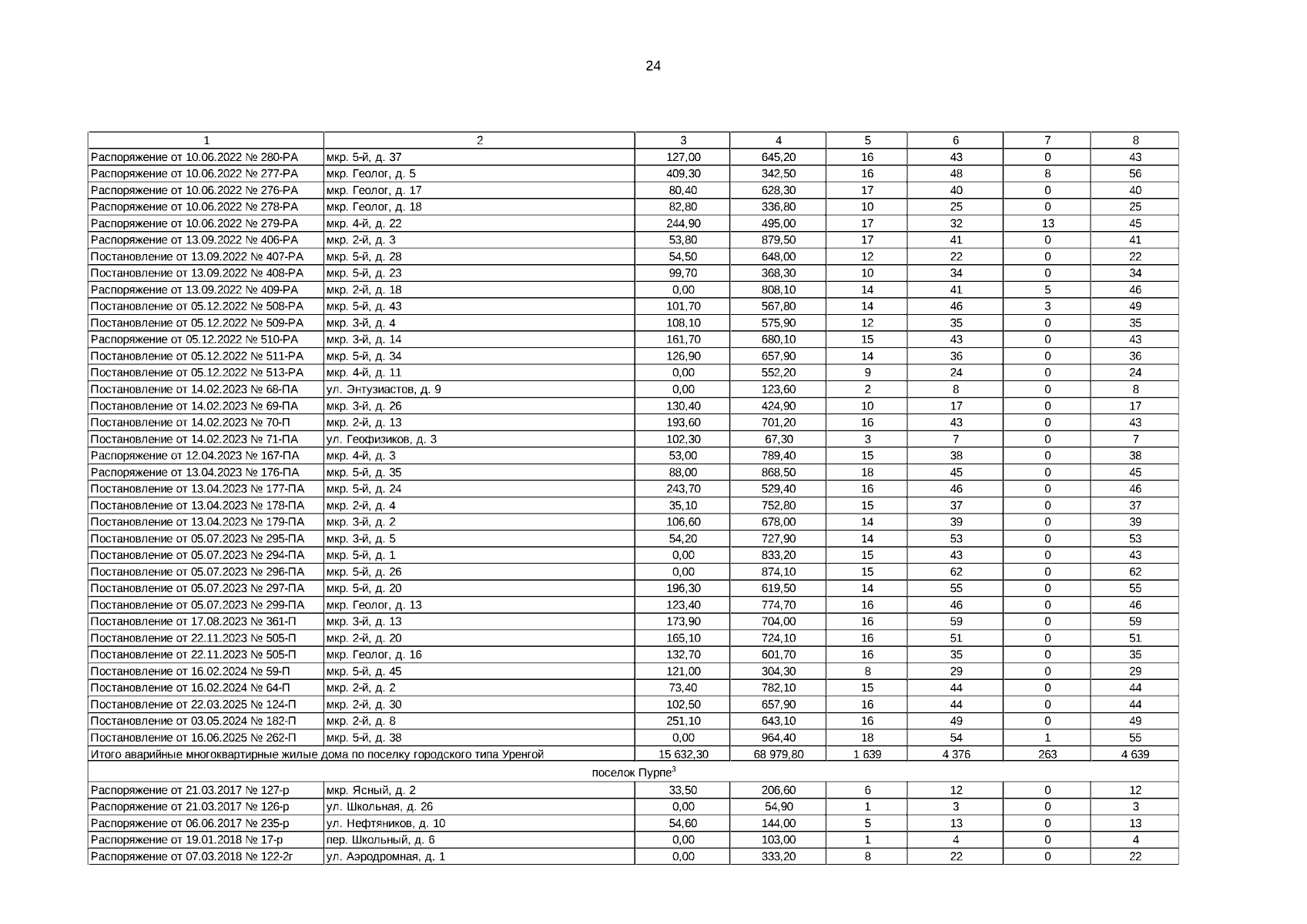
Постановление Правительства Ямало-Ненецкого автономного округа от 29.09.2025 № 518-П
"О внесении изменений в Программу по переселению граждан из аварийного жилищного фонда и жилищного фонда, планируемого к признанию аварийным, на территории Ямало-Ненецкого автономного округа на 2019 – 2030 годы"
Номер опубликования: 8900202510020003
Дата опубликования: 02.10.2025
Страница №25 из 147:
Увеличить