Постановление Губернатора Ямало-Ненецкого автономного округа от 14.08.2025 № 45-ПГ
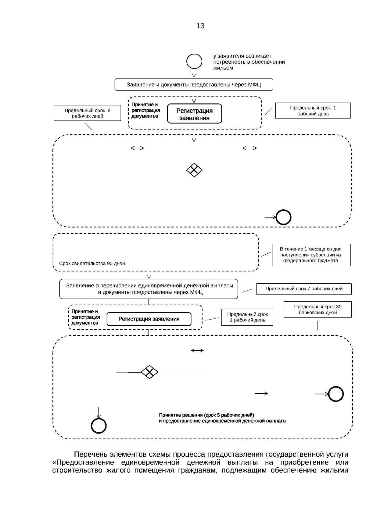
"О внесении изменений в Административный регламент департамента строительства и жилищной политики Ямало-Ненецкого автономного округа по предоставлению государственной услуги "Предоставление единовременной денежной выплаты на приобретение или строительство жилого помещения гражданам, подлежащим обеспечению жилыми помещениями в соответствии с Федеральным законом от 08 декабря 2010 года № 342-ФЗ "О внесении изменений в Федеральный закон "О статусе военнослужащих" и об обеспечении жилыми помещениями некоторых категорий граждан"
"О внесении изменений в Административный регламент департамента строительства и жилищной политики Ямало-Ненецкого автономного округа по предоставлению государственной услуги "Предоставление единовременной денежной выплаты на приобретение или строительство жилого помещения гражданам, подлежащим обеспечению жилыми помещениями в соответствии с Федеральным законом от 08 декабря 2010 года № 342-ФЗ "О внесении изменений в Федеральный закон "О статусе военнослужащих" и об обеспечении жилыми помещениями некоторых категорий граждан"
Номер опубликования: 8900202508190005
Дата опубликования:
19.08.2025
