Официальное опубликование правовых актов
ОФИЦИАЛЬНОЕ ОПУБЛИКОВАНИЕ
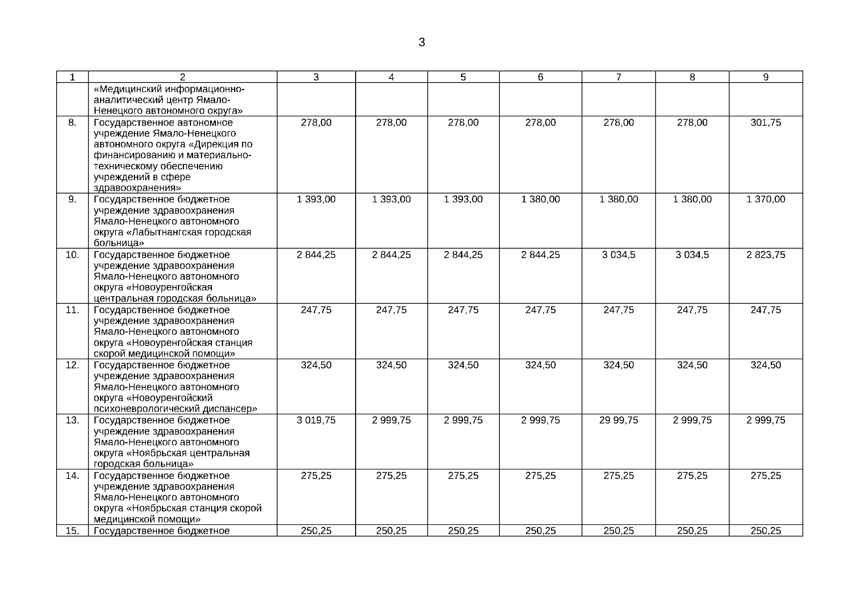
Постановление Правительства Ямало-Ненецкого автономного округа от 01.08.2025 № 422-П
"Об изменении предельной штатной численности государственных учреждений, подведомственных департаменту здравоохранения Ямало-Ненецкого автономного округа"
Номер опубликования: 8900202508050003
Дата опубликования: 05.08.2025
Страница №5 из 7:
Увеличить