Официальное опубликование правовых актов
ОФИЦИАЛЬНОЕ ОПУБЛИКОВАНИЕ
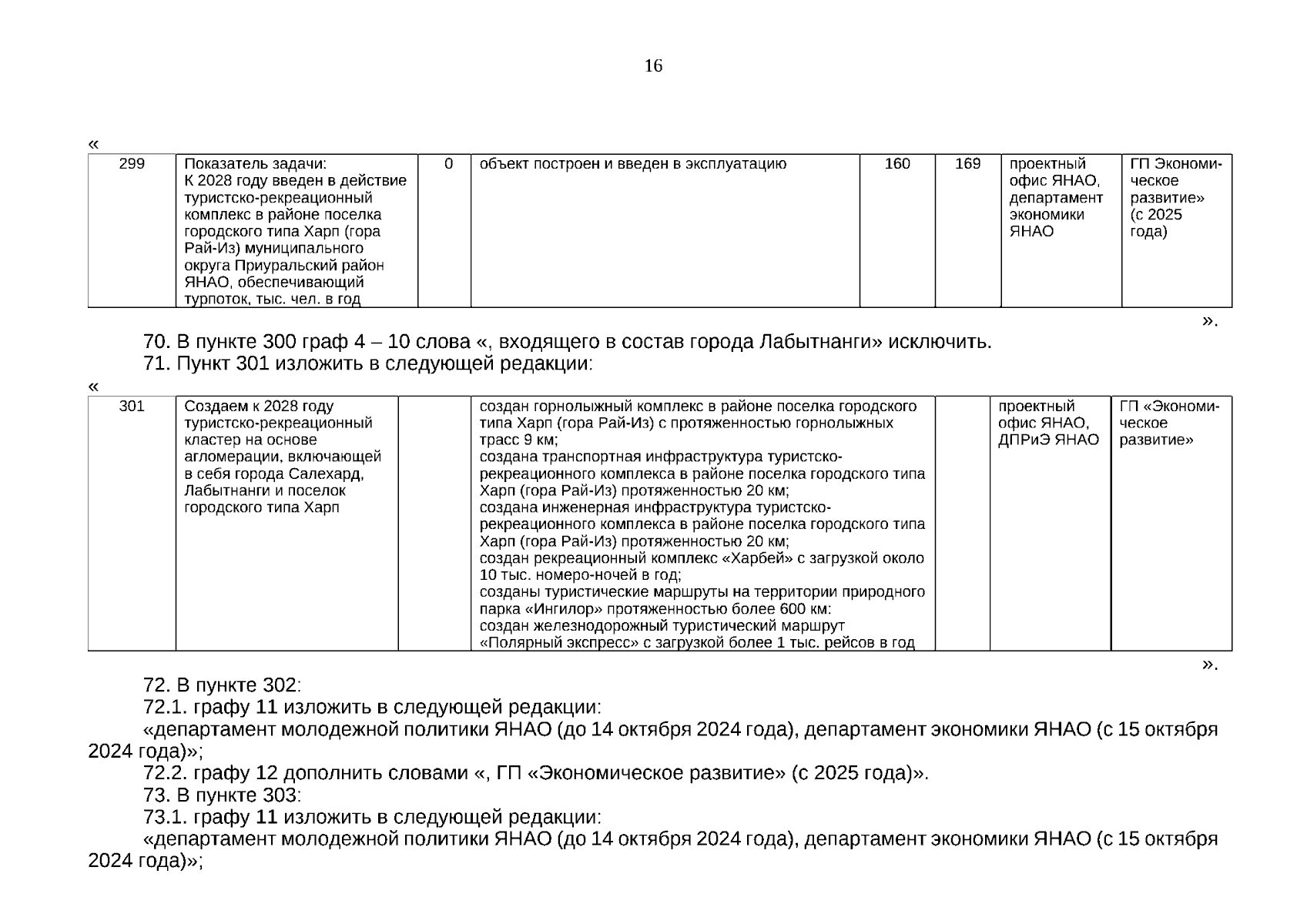
Постановление Правительства Ямало-Ненецкого автономного округа от 16.05.2025 № 274-П
"О внесении изменений в план мероприятий по реализации Стратегии социально-экономического развития Ямало-Ненецкого автономного округа до 2035 года"
Номер опубликования: 8900202505200003
Дата опубликования: 20.05.2025
Страница №17 из 29:
Увеличить