Официальное опубликование правовых актов
ОФИЦИАЛЬНОЕ ОПУБЛИКОВАНИЕ
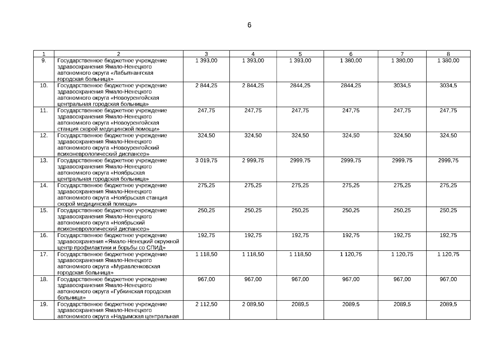
Постановление Правительства Ямало-Ненецкого автономного округа от 23.04.2025 № 238-П
"Об изменении предельной штатной численности государственных учреждений, подведомственных департаменту здравоохранения Ямало-Ненецкого автономного округа"
Номер опубликования: 8900202504250007
Дата опубликования: 25.04.2025
Страница №8 из 9:
Увеличить