Официальное опубликование правовых актов
ОФИЦИАЛЬНОЕ ОПУБЛИКОВАНИЕ
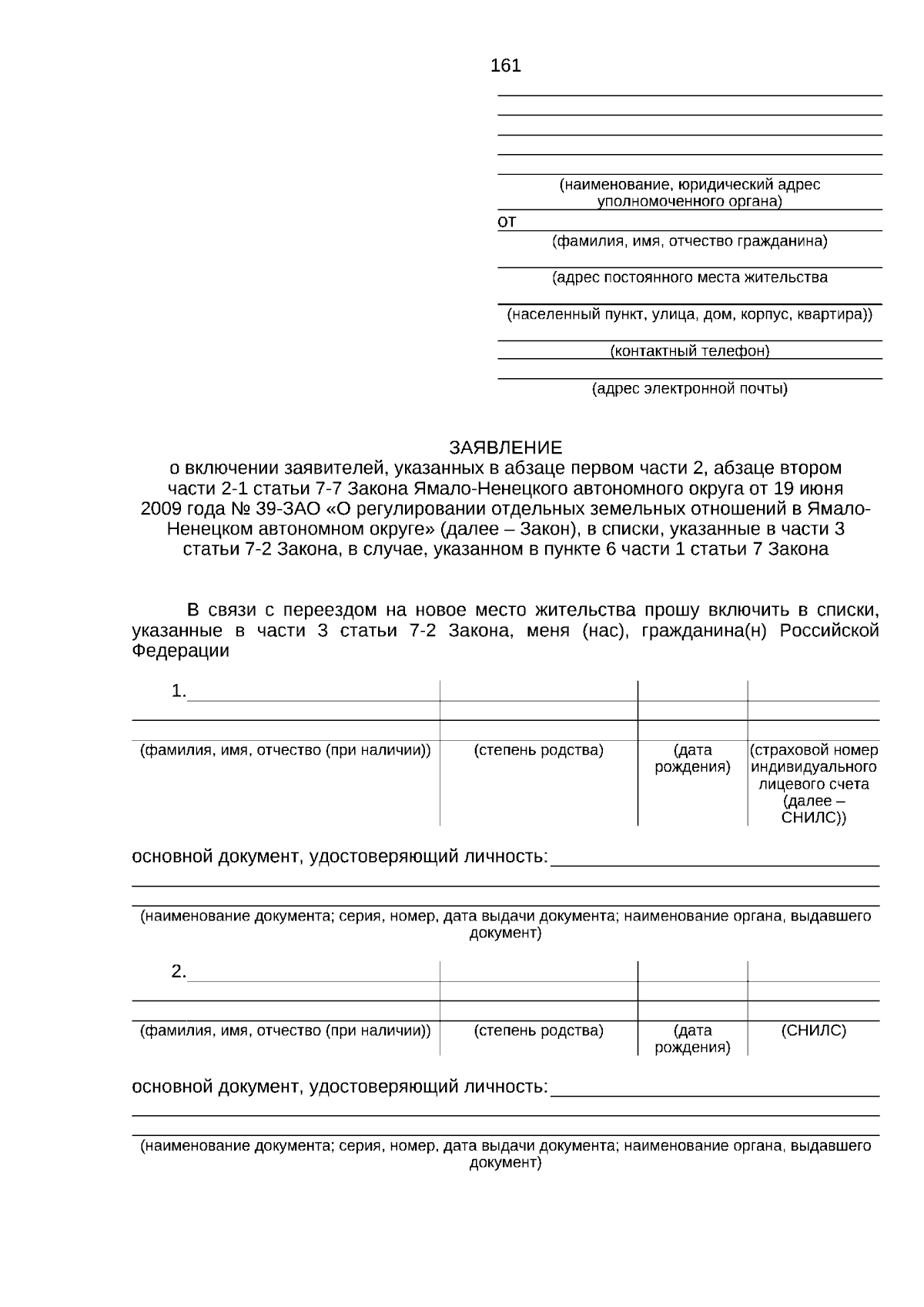
Постановление Правительства Ямало-Ненецкого автономного округа от 01.02.2025 № 44-П
"О внесении изменений в некоторые постановления Правительства Ямало-Ненецкого автономного округа в сфере земельных отношений"
Номер опубликования: 8900202502050001
Дата опубликования: 05.02.2025
Страница №162 из 197:
Увеличить