Официальное опубликование правовых актов
ОФИЦИАЛЬНОЕ ОПУБЛИКОВАНИЕ
Постановление Правительства Ямало-Ненецкого автономного округа от 30.01.2025 № 40-П
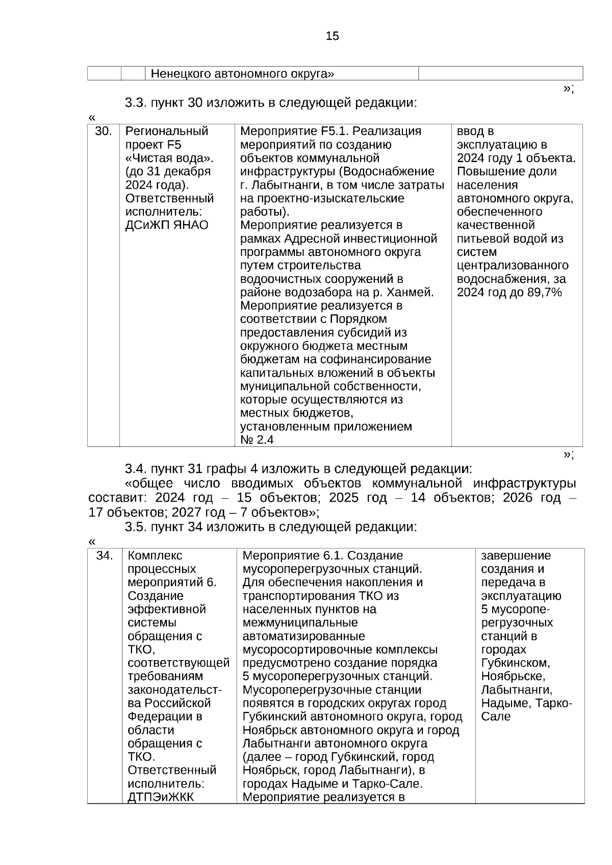
"О внесении изменений в государственную программу Ямало-Ненецкого автономного округа "Развитие энергетики и жилищно-коммунального комплекса"
Номер опубликования: 8900202502030003
Дата опубликования: 03.02.2025
Страница №16 из 25:
Увеличить