Официальное опубликование правовых актов
ОФИЦИАЛЬНОЕ ОПУБЛИКОВАНИЕ
Постановление Правительства Ямало-Ненецкого автономного округа от 16.12.2024 № 696-П
"О внесении изменений в некоторые постановления Правительства Ямало-Ненецкого автономного округа"
Номер опубликования: 8900202412220016
Дата опубликования: 22.12.2024
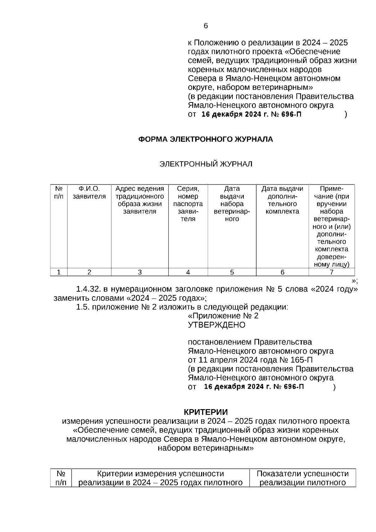
Страница №7 из 9:
Увеличить