Официальное опубликование правовых актов
ОФИЦИАЛЬНОЕ ОПУБЛИКОВАНИЕ
Постановление Губернатора Ямало-Ненецкого автономного округа от 01.12.2024 № 99-ПГ
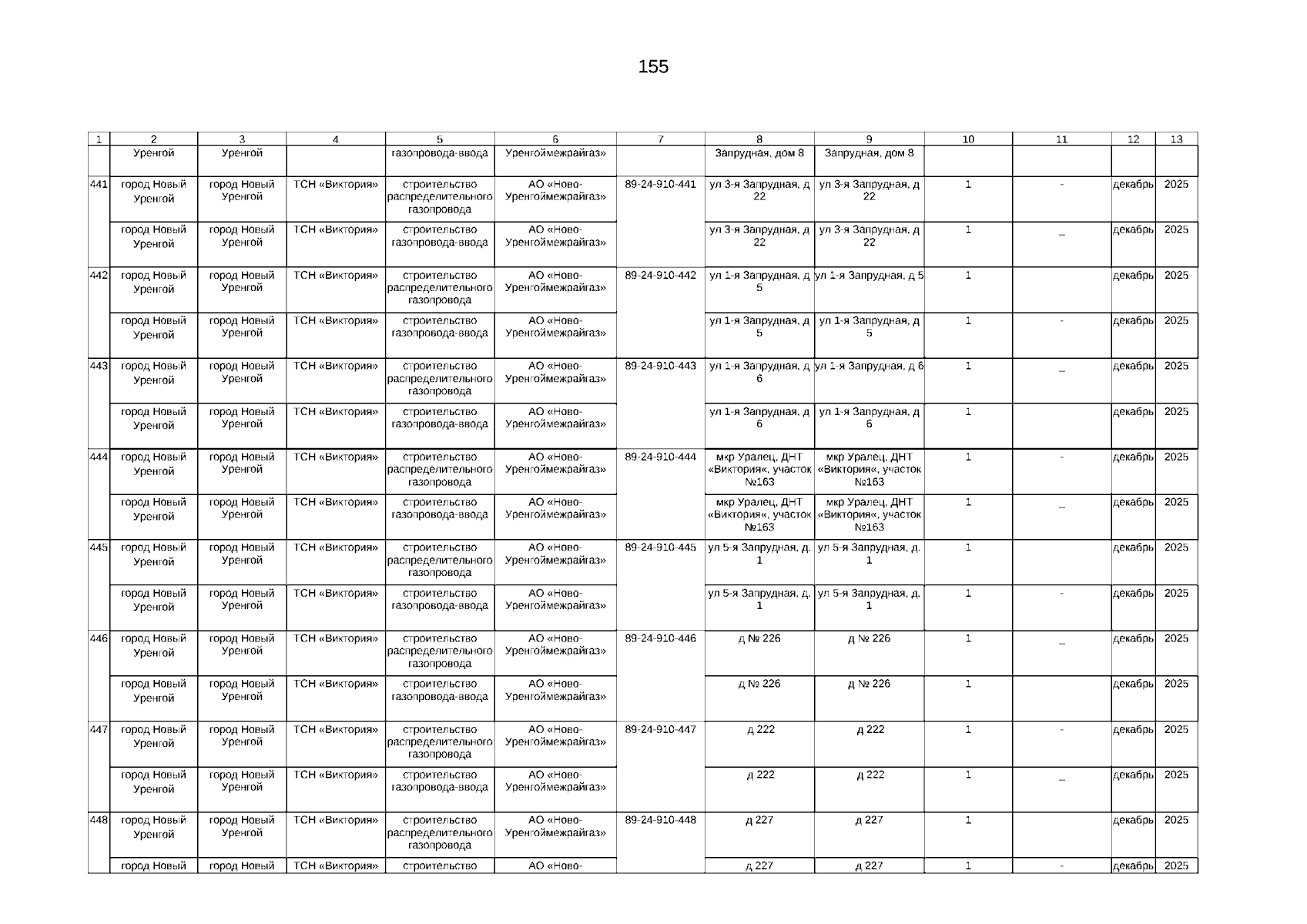
"Об утверждении Комплексной региональной программы газификации жилищно-коммунального хозяйства, промышленных и иных организаций на территории Ямало-Ненецкого автономного округа на 2024 – 2033 годы"
Номер опубликования: 8900202412050011
Дата опубликования: 05.12.2024
Страница №157 из 218:
Увеличить