Официальное опубликование правовых актов
ОФИЦИАЛЬНОЕ ОПУБЛИКОВАНИЕ
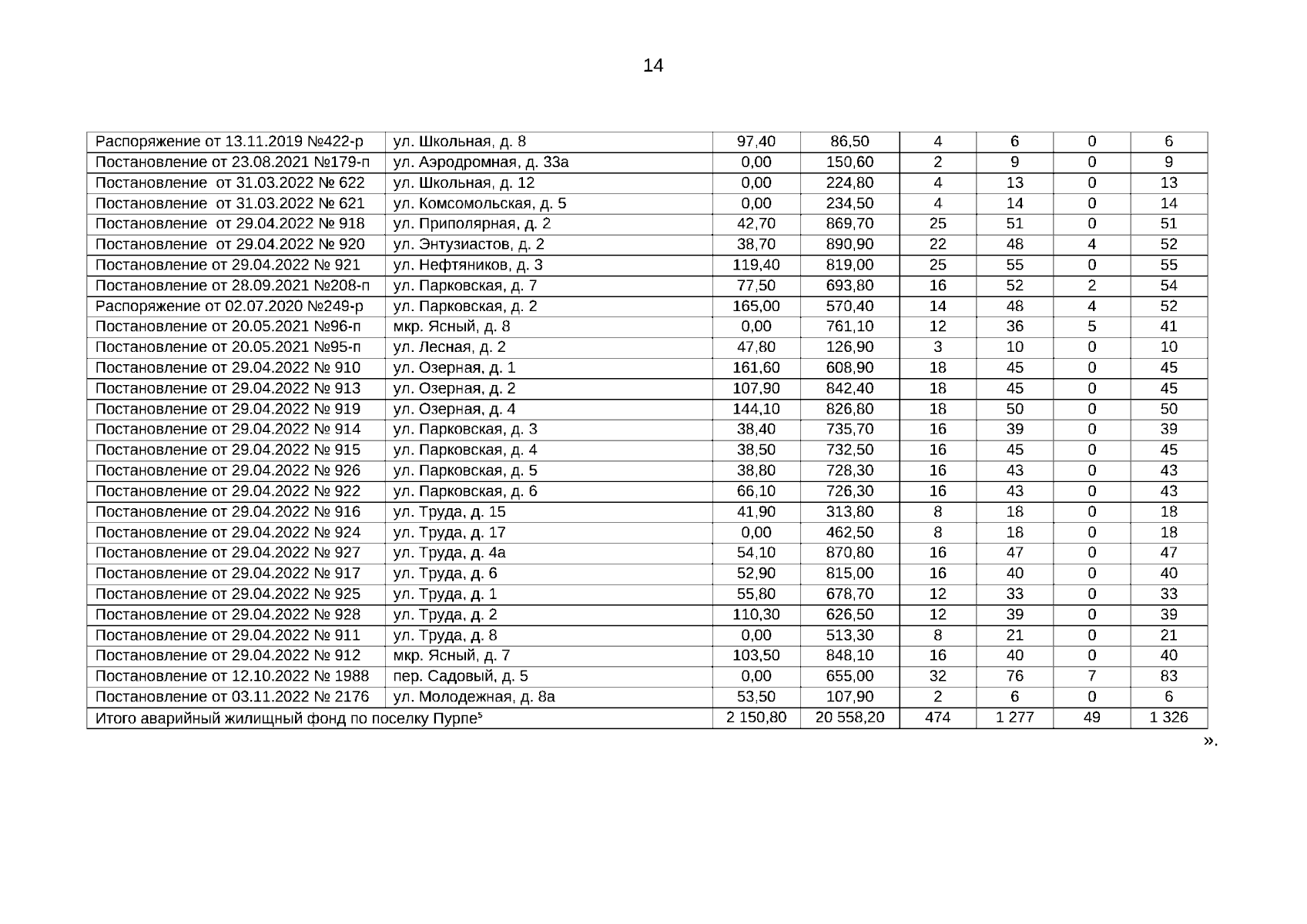
Постановление Правительства Ямало-Ненецкого автономного округа от 20.09.2024 № 512-П
"О внесении изменений в таблицу приложения № 1 к Программе по переселению граждан из аварийного жилищного фонда и жилищного фонда, планируемого к признанию аварийным, на территории Ямало-Ненецкого автономного округа на 2019 – 2030 годы"
Номер опубликования: 8900202409250017
Дата опубликования: 25.09.2024
Страница №15 из 15:
Увеличить