Официальное опубликование правовых актов
ОФИЦИАЛЬНОЕ ОПУБЛИКОВАНИЕ
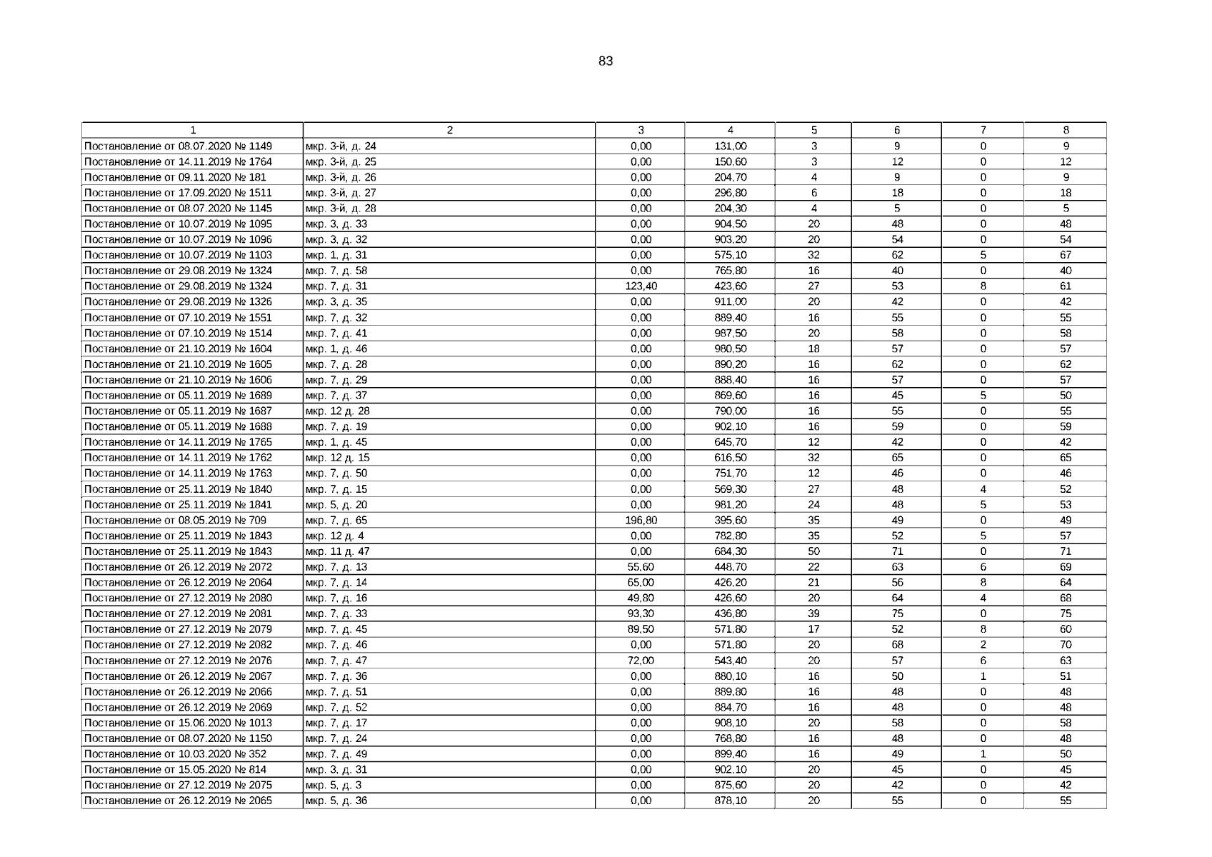
Постановление Правительства Ямало-Ненецкого автономного округа от 14.08.2024 № 442-П
"О внесении изменений в постановление Правительства Ямало-Ненецкого автономного округа от 11 февраля 2020 года № 112-П"
Номер опубликования: 8900202408200005
Дата опубликования: 20.08.2024
Страница №84 из 152:
Увеличить