Официальное опубликование правовых актов
ОФИЦИАЛЬНОЕ ОПУБЛИКОВАНИЕ
Постановление Правительства Ямало-Ненецкого автономного округа от 05.06.2024 № 283-П
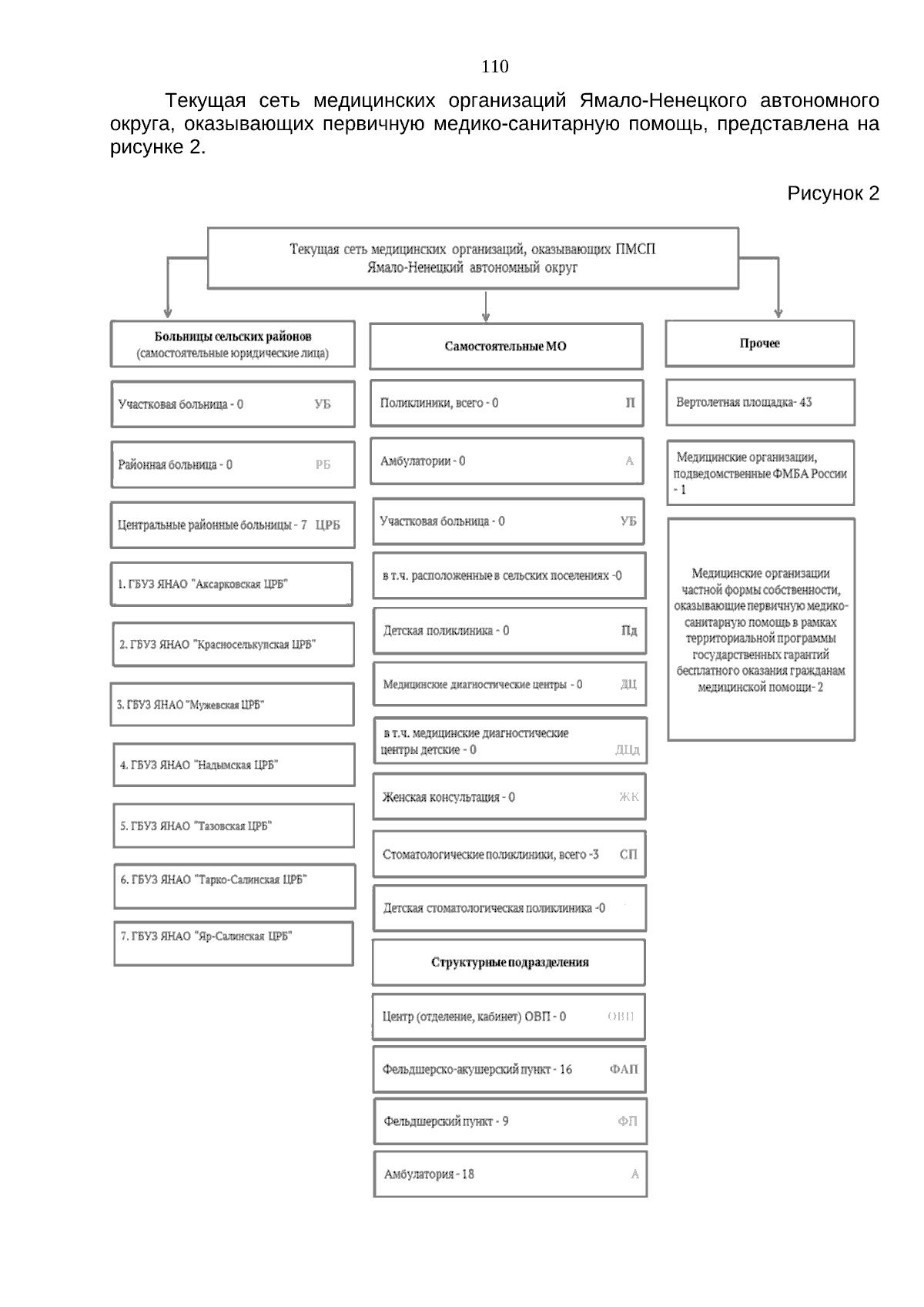
"Об утверждении региональной программы "Модернизация первичного звена здравоохранения"
Номер опубликования: 8900202406060025
Дата опубликования: 06.06.2024
Страница №111 из 684:
Увеличить