Официальное опубликование правовых актов
ОФИЦИАЛЬНОЕ ОПУБЛИКОВАНИЕ
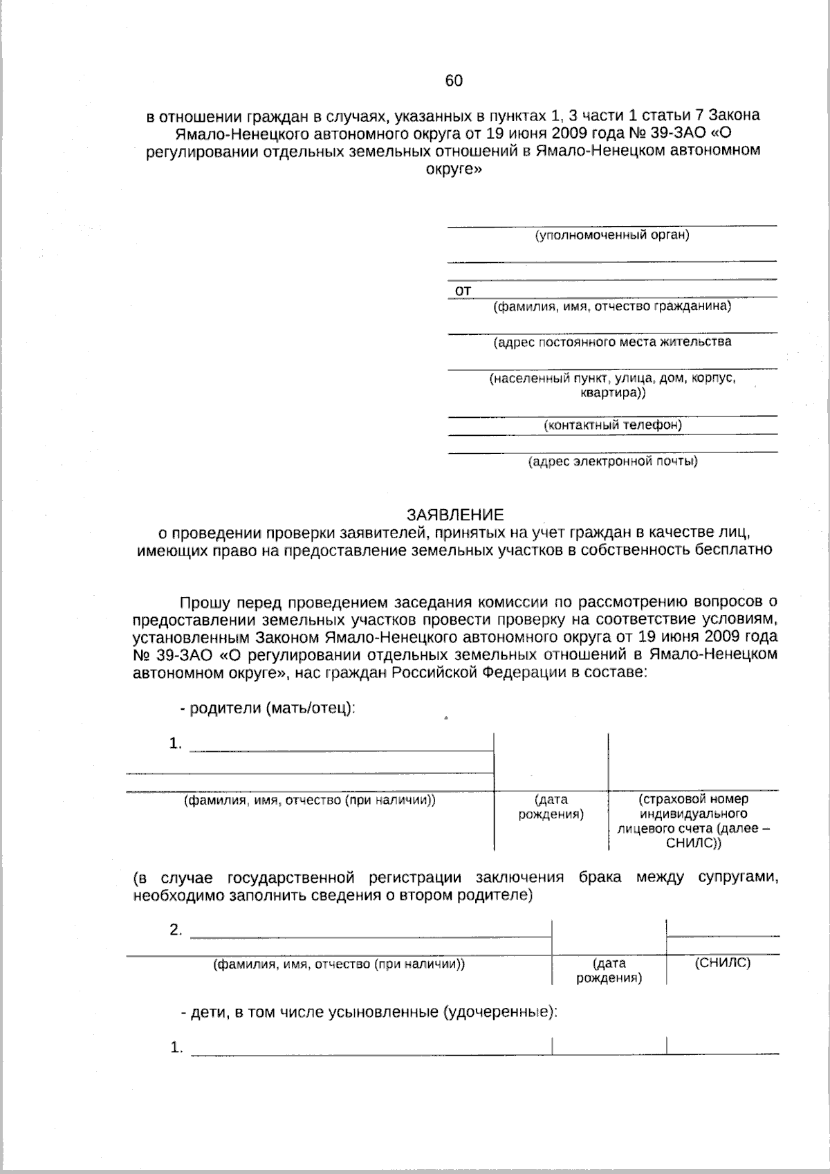
Постановление Правительства Ямало-Ненецкого автономного округа от 13.03.2024 № 117-П
"О внесении изменений в некоторые нормативные правовые акты Правительства Ямало-Ненецкого автономного округа"
Номер опубликования: 8900202403140002
Дата опубликования: 14.03.2024
Страница №61 из 103:
Увеличить