Официальное опубликование правовых актов
ОФИЦИАЛЬНОЕ ОПУБЛИКОВАНИЕ
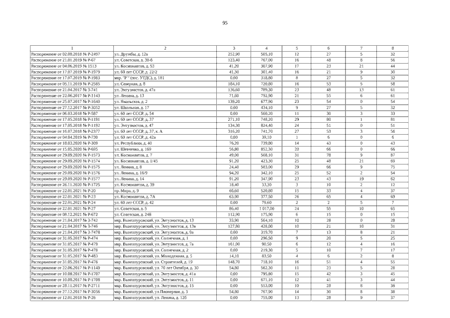
Постановление Правительства Ямало-Ненецкого автономного округа от 06.06.2023 № 473-П
"О внесении изменений в Программу по переселению граждан из аварийного жилищного фонда и жилищного фонда, планируемого к признанию аварийным, на территории Ямало-Ненецкого автономного округа на 2019 – 2028 годы"
Номер опубликования: 8900202306070002
Дата опубликования: 07.06.2023
Страница №99 из 153:
Увеличить