Официальное опубликование правовых актов
ОФИЦИАЛЬНОЕ ОПУБЛИКОВАНИЕ
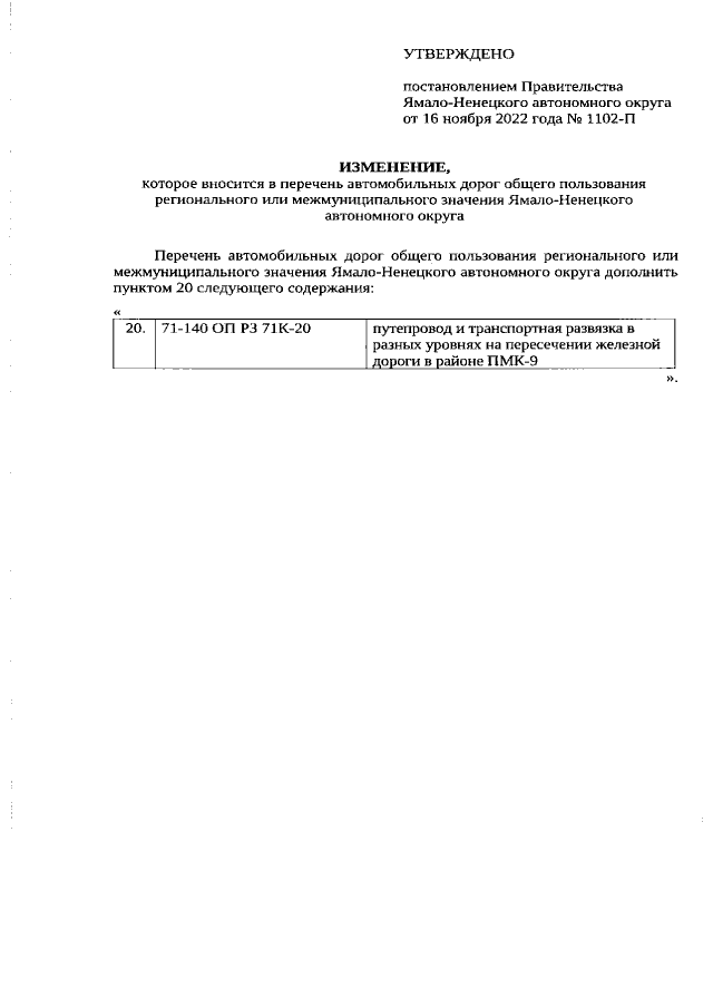
Постановление Правительства Ямало-Ненецкого автономного округа от 16.11.2022 № 1102-П
"О внесении изменения в перечень автомобильных дорог общего пользования регионального или межмуниципального значения Ямало-Ненецкого автономного округа"
Номер опубликования: 8900202211180003
Дата опубликования: 18.11.2022
Страница №2 из 2:
Увеличить