Официальное опубликование правовых актов
ОФИЦИАЛЬНОЕ ОПУБЛИКОВАНИЕ
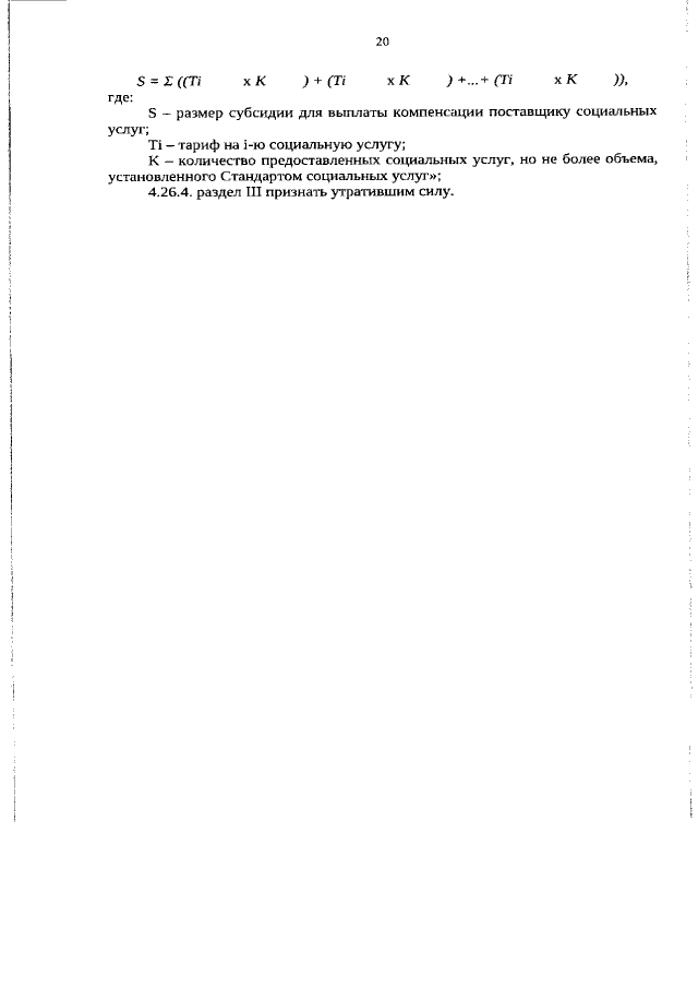
Постановление Правительства Ямало-Ненецкого автономного округа от 31.10.2022 № 1027-П
"О внесении изменений в постановление Правительства Ямало-Ненецкого автономного округа от 25 июня 2021 года № 557-П"
Номер опубликования: 8900202211020005
Дата опубликования: 02.11.2022
Страница №21 из 21:
Увеличить