Официальное опубликование правовых актов
ОФИЦИАЛЬНОЕ ОПУБЛИКОВАНИЕ
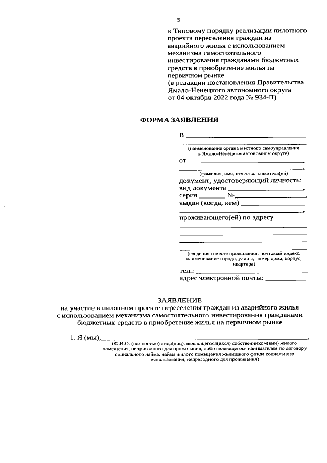
Постановление Правительства Ямало-Ненецкого автономного округа от 04.10.2022 № 934-П
"О внесении изменений в некоторые постановления Правительства Ямало-Ненецкого автономного округа в жилищной сфере"
Номер опубликования: 8900202210060012
Дата опубликования: 06.10.2022
Страница №6 из 11:
Увеличить