Официальное опубликование правовых актов
ОФИЦИАЛЬНОЕ ОПУБЛИКОВАНИЕ
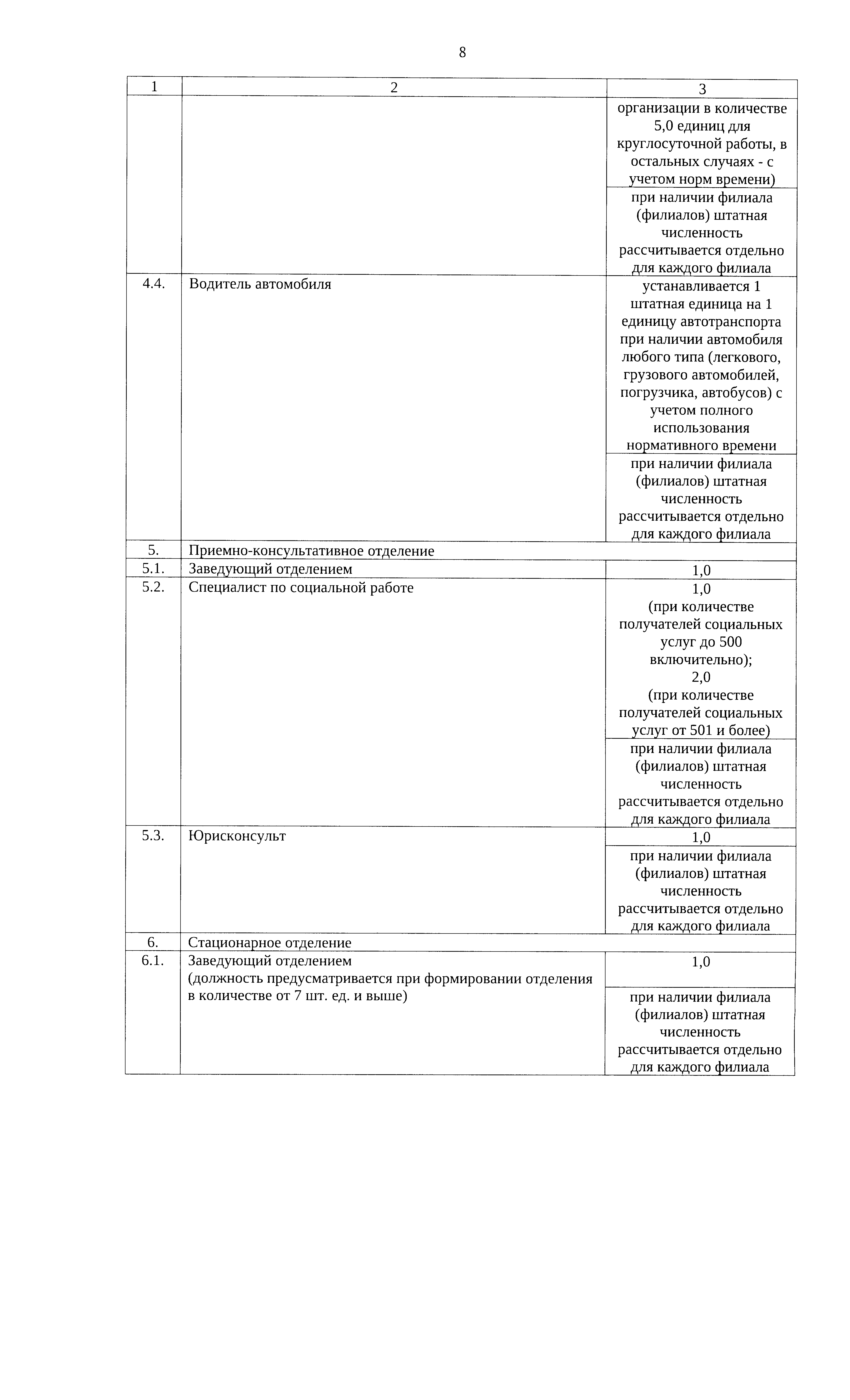
Постановление Правительства Ямало-Ненецкого автономного округа от 26.07.2022 № 726-П
"Об утверждении нормативов штатной численности организаций социального обслуживания, находящихся в ведении Ямало-Ненецкого автономного округа"
Номер опубликования: 8900202207290001
Дата опубликования: 29.07.2022
Страница №9 из 19: