Официальное опубликование правовых актов
ОФИЦИАЛЬНОЕ ОПУБЛИКОВАНИЕ
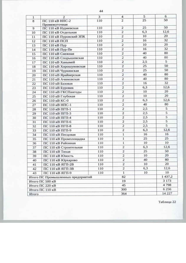
Постановление Губернатора Ямало-Ненецкого автономного округа от 29.04.2022 № 63-ПГ
"Об утверждении схемы и программы перспективного развития электроэнергетики Ямало-Ненецкого автономного округа на период 2023 – 2027 годов"
Номер опубликования: 8900202205040004
Дата опубликования: 04.05.2022
Страница №45 из 105:
Увеличить