Официальное опубликование правовых актов
ОФИЦИАЛЬНОЕ ОПУБЛИКОВАНИЕ
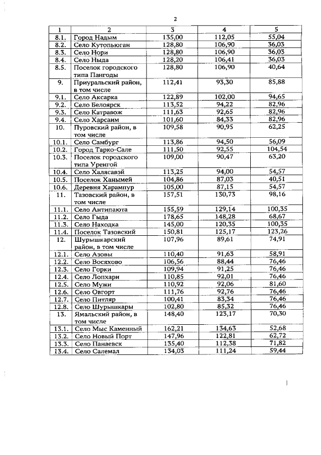
Постановление Правительства Ямало-Ненецкого автономного округа от 25.02.2022 № 184-П
"Об утверждении средней рыночной стоимости одного квадратного метра общей площади жилых помещений в муниципальных образованиях в Ямало-Ненецком автономном округе на I квартал 2022 года"
Номер опубликования: 8900202203020007
Дата опубликования: 02.03.2022
Страница №3 из 4:
Увеличить