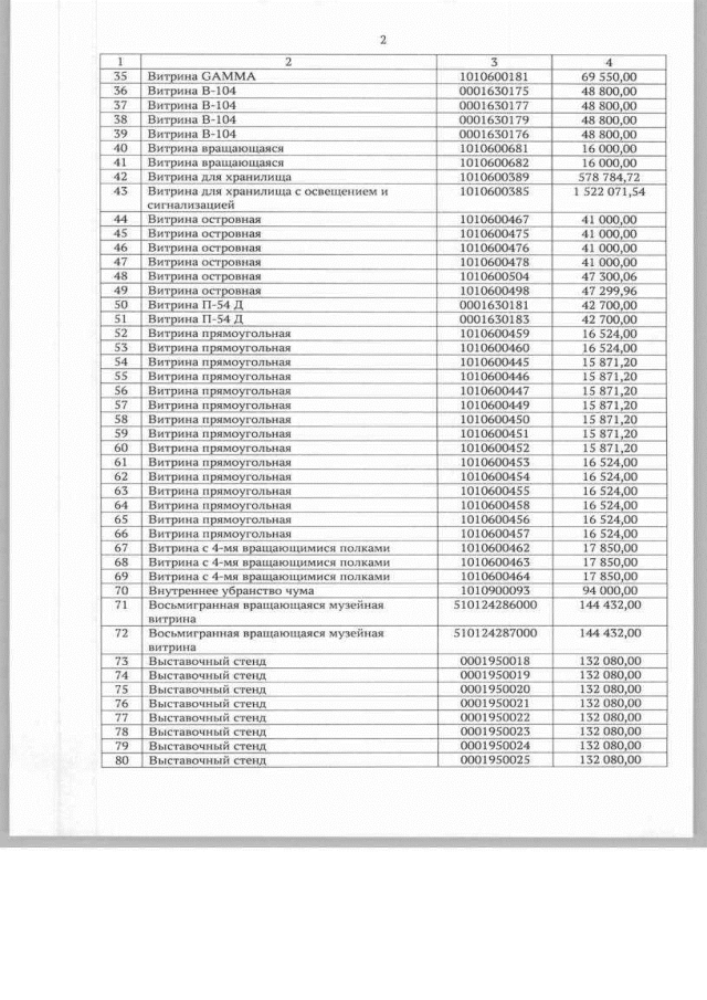
Постановление Правительства Ямало-Ненецкого автономного округа от 22.11.2021 № 1019-П
"О создании автономного учреждения путем изменения типа существующего государственного бюджетного учреждения Ямало-Ненецкого автономного округа "Ямало-Ненецкий окружной музейно-выставочный комплекс имени И.С. Шемановского"
"О создании автономного учреждения путем изменения типа существующего государственного бюджетного учреждения Ямало-Ненецкого автономного округа "Ямало-Ненецкий окружной музейно-выставочный комплекс имени И.С. Шемановского"
Номер опубликования: 8900202111260007
Дата опубликования:
26.11.2021
