Официальное опубликование правовых актов
ОФИЦИАЛЬНОЕ ОПУБЛИКОВАНИЕ
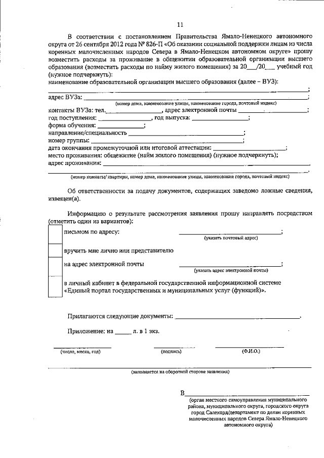
Постановление Правительства Ямало-Ненецкого автономного округа от 26.05.2021 № 436-П
"О внесении изменений в приложения №№ 2, 3, утвержденные постановлением Правительства Ямало-Ненецкого автономного округа от 26 сентября 2012 года № 826-П"
Номер опубликования: 8900202105310012
Дата опубликования: 31.05.2021
Страница №12 из 13:
Увеличить