Постановление Правительства Ямало-Ненецкого автономного округа от 26.04.2021 № 324-П
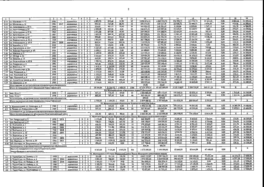
"Об утверждении адресной программы капитального ремонта общего имущества в многоквартирных домах на 2021 год и перераспределении бюджетных ассигнований окружного бюджета"
"Об утверждении адресной программы капитального ремонта общего имущества в многоквартирных домах на 2021 год и перераспределении бюджетных ассигнований окружного бюджета"
Номер опубликования: 8900202104280011
Дата опубликования:
28.04.2021
