Официальное опубликование правовых актов
ОФИЦИАЛЬНОЕ ОПУБЛИКОВАНИЕ
Постановление Правительства Ямало-Ненецкого автономного округа от 27.03.2019 № 298-П
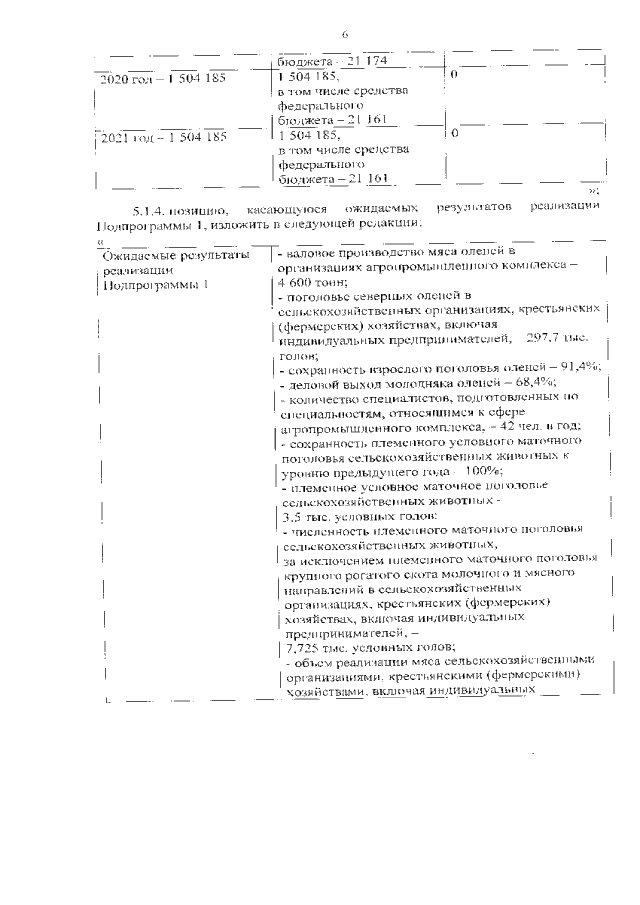
"О внесении изменений в государственную программу Ямало-Ненецкого автономного округа "Развитие агропромышленного комплекса, рыбного хозяйства и регулирования рынков сельскохозяйственной продукции, сырья и продовольствия на 2014 – 2021 годы"
Номер опубликования: 8900201904010003
Дата опубликования: 01.04.2019
Страница №7 из 109:
Увеличить