Официальное опубликование правовых актов
ОФИЦИАЛЬНОЕ ОПУБЛИКОВАНИЕ
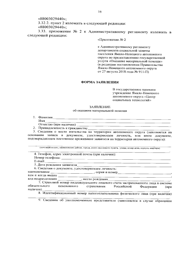
Постановление Правительства Ямало-Ненецкого автономного округа от 27.08.2018 № 911-П
"О внесении изменений в некоторые Административные регламенты департамента социальной защиты населения Ямало-Ненецкого автономного округа по предоставлению государственных услуг"
Номер опубликования: 8900201808300004
Дата опубликования: 30.08.2018
Страница №17 из 24:
Увеличить