Официальное опубликование правовых актов
ОФИЦИАЛЬНОЕ ОПУБЛИКОВАНИЕ
Постановление Правительства Ямало-Ненецкого автономного округа от 11.07.2018 № 743-П
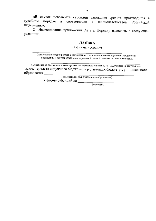
"О внесении изменений в Порядок предоставления, расходования и возврата субсидий, передаваемых в бюджеты муниципальных образований в Ямало-Ненецком автономном округе на софинансирование расходных обязательств, возникающих при реализации мероприятий по предоставлению молодым семьям социальных выплат на приобретение (строительство) жилья"
Номер опубликования: 8900201807180004
Дата опубликования: 18.07.2018
Страница №8 из 8:
Увеличить