Официальное опубликование правовых актов
ОФИЦИАЛЬНОЕ ОПУБЛИКОВАНИЕ
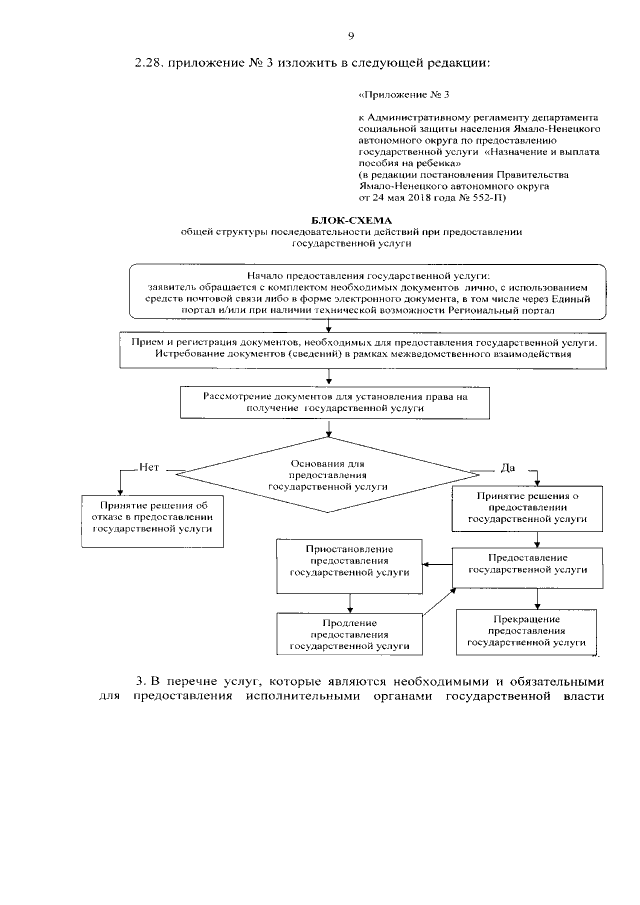
Постановление Правительства Ямало-Ненецкого автономного округа от 24.05.2018 № 552-П
"О внесении изменений в некоторые нормативные правовые акты Ямало-Ненецкого автономного округа"
Номер опубликования: 8900201805310016
Дата опубликования: 31.05.2018
Страница №10 из 12:
Увеличить