Официальное опубликование правовых актов
ОФИЦИАЛЬНОЕ ОПУБЛИКОВАНИЕ
Постановление Правительства Ямало-Ненецкого автономного округа от 02.11.2017 № 1150-П
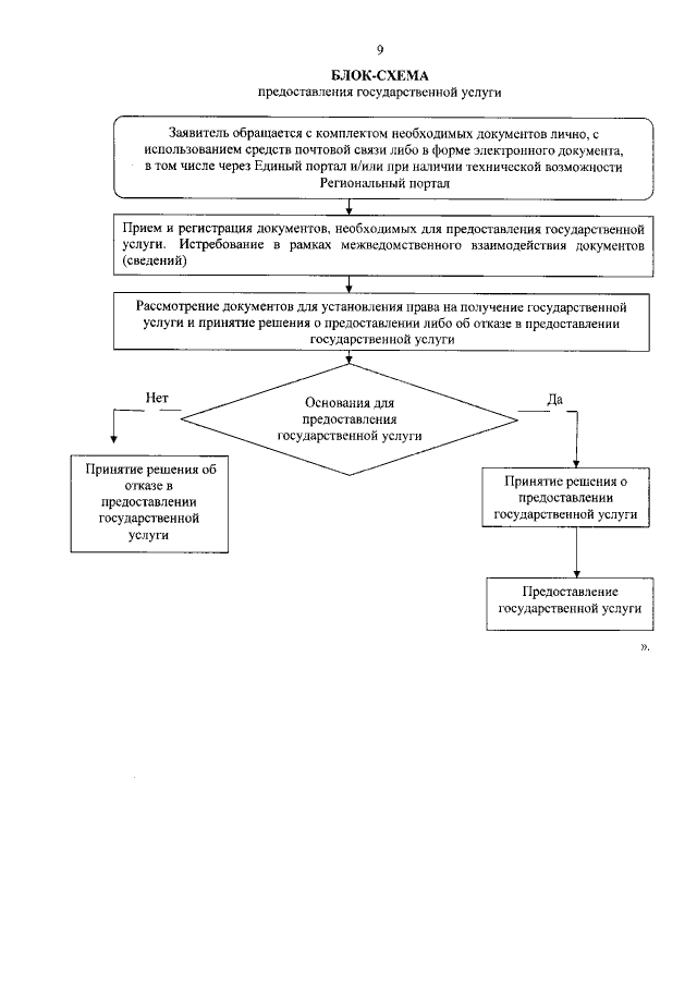
"О внесении изменений в Административный регламент департамента социальной защиты населения Ямало-Ненецкого автономного округа по предоставлению государственной услуги "Оказание материальной помощи к датам истории"
Номер опубликования: 8900201711090001
Дата опубликования: 09.11.2017
Страница №10 из 10:
Увеличить