Официальное опубликование правовых актов
ОФИЦИАЛЬНОЕ ОПУБЛИКОВАНИЕ
Постановление Правительства Ямало-Ненецкого автономного округа от 20.10.2016 № 985-П
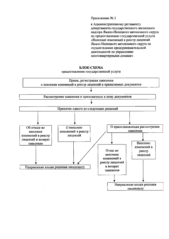
"Об утверждении Административного регламента департамента государственного жилищного надзора Ямало-Ненецкого автономного округа по предоставлению государственной услуги "Внесение изменений в реестр лицензий Ямало-Ненецкого автономного округа на осуществление предпринимательской деятельности по управлению многоквартирными домами"
Номер опубликования: 8900201610280004
Дата опубликования: 28.10.2016
Страница №24 из 25:
Увеличить