Официальное опубликование правовых актов
ОФИЦИАЛЬНОЕ ОПУБЛИКОВАНИЕ
Постановление Правительства Ямало-Ненецкого автономного округа от 25.08.2016 № 799-П
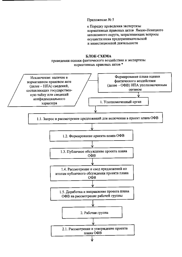
"Об утверждении Порядка проведения экспертизы нормативных правовых актов Ямало-Ненецкого автономного округа, затрагивающих вопросы осуществления предпринимательской и инвестиционной деятельности"
Номер опубликования: 8900201608310001
Дата опубликования: 31.08.2016
Страница №13 из 15:
Увеличить