Официальное опубликование правовых актов
ОФИЦИАЛЬНОЕ ОПУБЛИКОВАНИЕ
Постановление Правительства Ямало-Ненецкого автономного округа от 26.05.2016 № 464-П
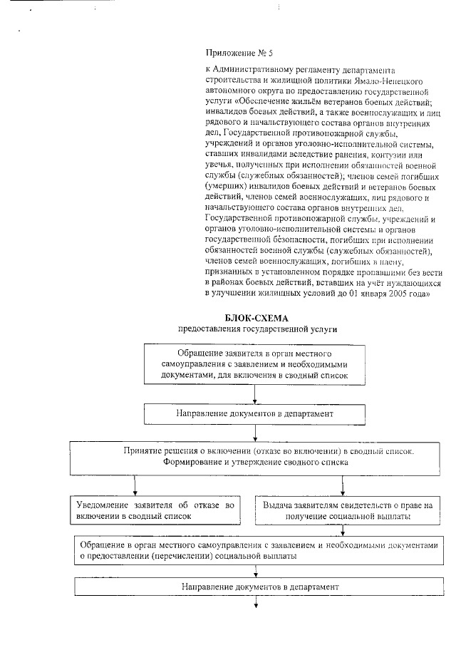
"Об утверждении Административного регламента департамента строительства и жилищной политики Ямало-Ненецкого автономного округа по предоставлению государственной услуги "Обеспечение жильём ветеранов боевых действий; инвалидов боевых действий, а также военнослужащих и лиц рядового и начальствующего состава органов внутренних дел, Государственной противопожарной службы, учреждений и органов уголовно-исполнительной системы, ставших инвалидами вследствие ранения, контузии или увечья, полученных при исполнении обязанностей военной службы (служебных обязанностей); членов семей погибших (умерших) инвалидов боевых действий и ветеранов боевых действий, членов семей военнослужащих, лиц рядового и начальствующего состава органов внутренних дел, Государственной противопожарной службы, учреждений и органов уголовно-исполнительной системы и органов государственной безопасности, погибших при исполнении обязанностей военной службы (служебных обязанностей), членов семей военнослужащих, погибших в плену, признанных в установленном порядке пропавшими без вести в районах боевых действий, вставших на учёт нуждающихся в улучшении жилищных условий до 01 января 2005 года"
Номер опубликования: 8900201606030007
Дата опубликования: 03.06.2016
Страница №41 из 42:
Увеличить