Официальное опубликование правовых актов
ОФИЦИАЛЬНОЕ ОПУБЛИКОВАНИЕ
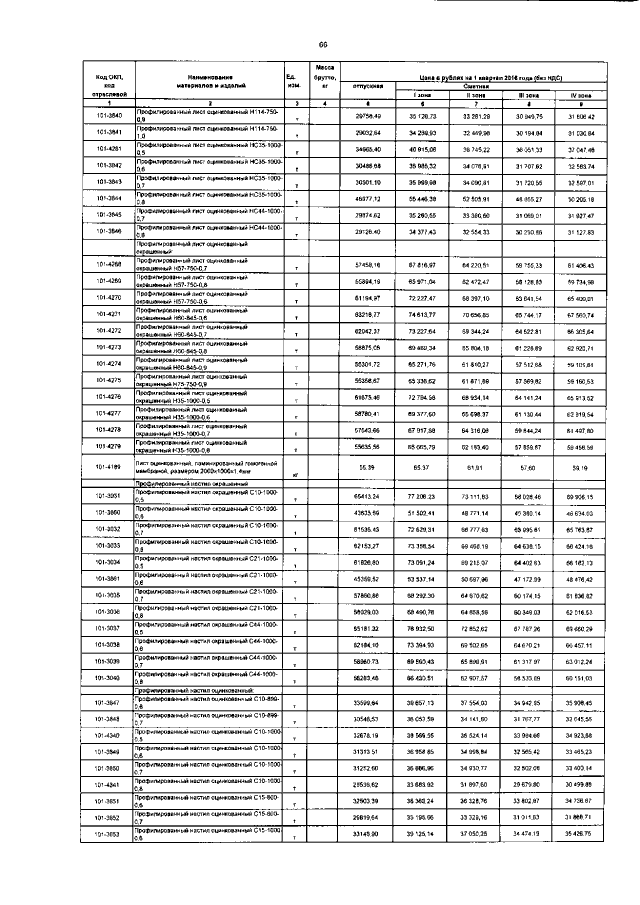
Постановление Правительства Ямало-Ненецкого автономного округа от 15.03.2016 № 200-П
"Об утверждении предельно допустимых индексов изменения сметной стоимости строительных, монтажных и ремонтно-строительных работ и номенклатурного сборника предельных отпускных и сметных цен на строительные материалы, изделия, конструкции на I квартал 2016 года"
Номер опубликования: 8900201603230034
Дата опубликования: 23.03.2016
Страница №82 из 1718:
Увеличить