Официальное опубликование правовых актов
ОФИЦИАЛЬНОЕ ОПУБЛИКОВАНИЕ
Постановление Губернатора Ямало-Ненецкого автономного округа от 29.10.2015 № 177-ПГ
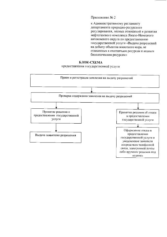
"Об утверждении Административного регламента департамента природно-ресурсного регулирования, лесных отношений и развития нефтегазового комплекса Ямало-Ненецкого автономного округа по предоставлению государственной услуги "Выдача разрешений на добычу объектов животного мира, не отнесённых к охотничьим ресурсам и водным биологическим ресурсам"
Номер опубликования: 8900201511060026
Дата опубликования: 06.11.2015
Страница №20 из 20:
Увеличить