Официальное опубликование правовых актов
ОФИЦИАЛЬНОЕ ОПУБЛИКОВАНИЕ
Постановление Правительства Ямало-Ненецкого автономного округа от 29.09.2015 № 917-П
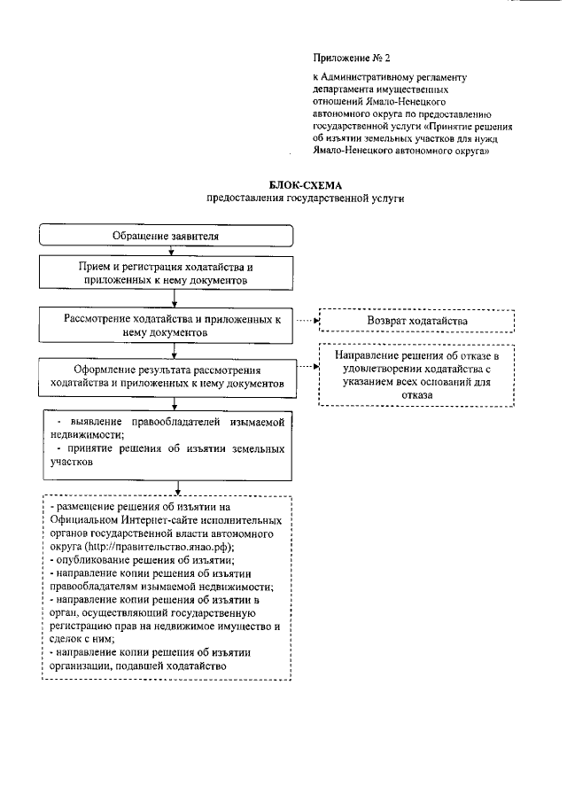
"Об утверждении Административного регламента департамента имущественных отношений Ямало-Ненецкого автономного округа по предоставлению государственной услуги "Принятие решения об изъятии земельных участков для нужд Ямало-Ненецкого автономного округа"
Номер опубликования: 8900201510060022
Дата опубликования: 06.10.2015
Страница №31 из 31:
Увеличить