Официальное опубликование правовых актов
ОФИЦИАЛЬНОЕ ОПУБЛИКОВАНИЕ
Постановление Правительства Ямало-Ненецкого автономного округа от 17.08.2015 № 767-П
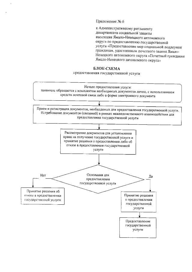
"Об утверждении Административного регламента департамента социальной защиты населения Ямало-Ненецкого автономного округа по предоставлению государственной услуги "Предоставление мер социальной поддержки гражданам, удостоенным почётного звания Ямало-Ненецкого автономного округа "Почётный гражданин Ямало-Ненецкого автономного округа"
Номер опубликования: 8900201508240001
Дата опубликования: 24.08.2015
Страница №40 из 40:
Увеличить