Постановление Правительства Ямало-Ненецкого автономного округа от 17.07.2015 № 632-П
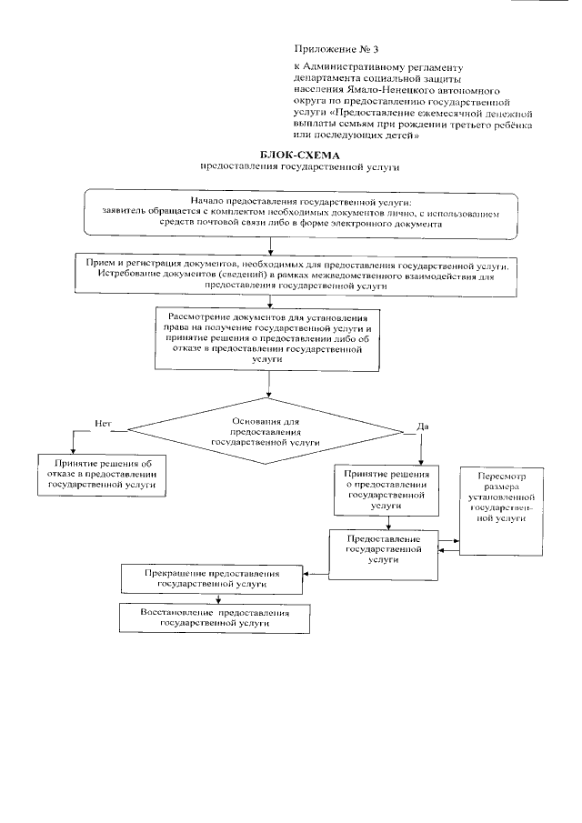
"Об утверждении Административного регламента департамента социальной защиты населения Ямало-Ненецкого автономного округа по предоставлению государственной услуги "Предоставление ежемесячной денежной выплаты семьям при рождении третьего ребёнка или последующих детей"
"Об утверждении Административного регламента департамента социальной защиты населения Ямало-Ненецкого автономного округа по предоставлению государственной услуги "Предоставление ежемесячной денежной выплаты семьям при рождении третьего ребёнка или последующих детей"
Номер опубликования: 8900201507240028
Дата опубликования:
24.07.2015
