Официальное опубликование правовых актов
ОФИЦИАЛЬНОЕ ОПУБЛИКОВАНИЕ
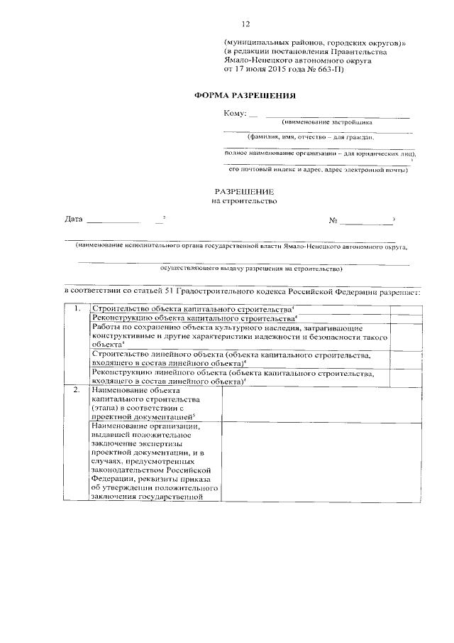
Постановление Правительства Ямало-Ненецкого автономного округа от 17.07.2015 № 663-П
"О внесении изменений в некоторые Административные регламенты департамента строительства и жилищной политики Ямало-Ненецкого автономного округа по предоставлению государственных услуг"
Номер опубликования: 8900201507240023
Дата опубликования: 24.07.2015
Страница №13 из 20:
Увеличить