Постановление Правительства Ямало-Ненецкого автономного округа от 16.06.2015 № 526-П
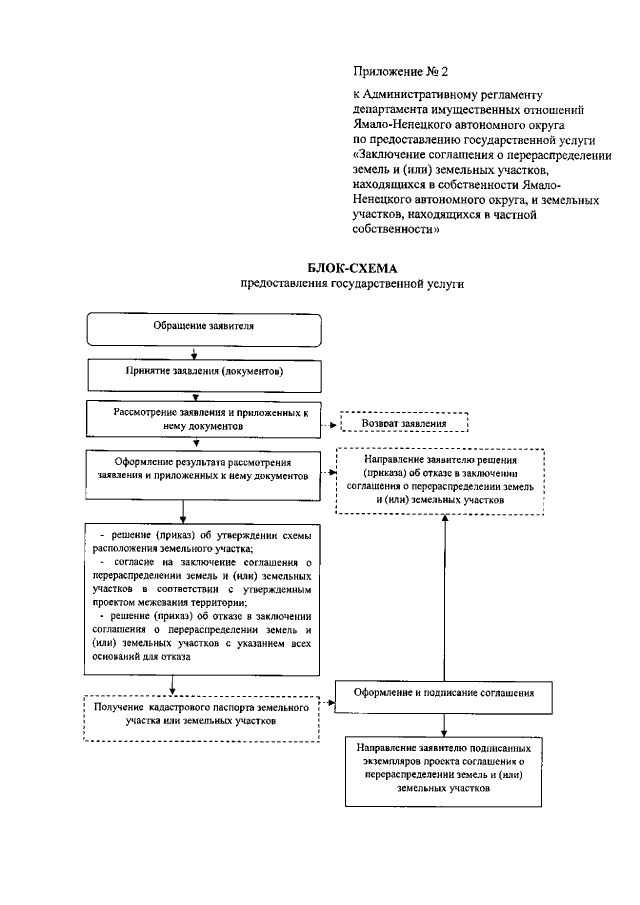
"Об утверждении Административного регламента департамента имущественных отношений Ямало-Ненецкого автономного округа по предоставлению государственной услуги "Заключение соглашения о перераспределении земель и (или) земельных участков, находящихся в собственности Ямало-Ненецкого автономного округа, и земельных участков, находящихся в частной собственности"
"Об утверждении Административного регламента департамента имущественных отношений Ямало-Ненецкого автономного округа по предоставлению государственной услуги "Заключение соглашения о перераспределении земель и (или) земельных участков, находящихся в собственности Ямало-Ненецкого автономного округа, и земельных участков, находящихся в частной собственности"
Номер опубликования: 8900201506180013
Дата опубликования:
18.06.2015
