Официальное опубликование правовых актов
ОФИЦИАЛЬНОЕ ОПУБЛИКОВАНИЕ
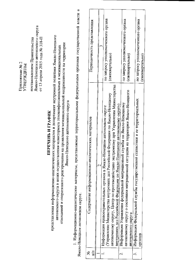
Постановление Правительства Ямало-Ненецкого автономного округа от 13.04.2015 № 318-П
"О мониторинге этноконфессиональных и межнациональных отношений и оперативном реагировании на проявления межнациональной напряжённости на территории Ямало-Ненецкого автономного округа"
Номер опубликования: 8900201504170021
Дата опубликования: 17.04.2015
Страница №14 из 24:
Увеличить