Официальное опубликование правовых актов
ОФИЦИАЛЬНОЕ ОПУБЛИКОВАНИЕ
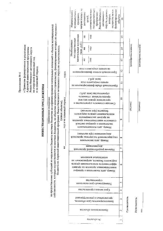
Постановление Правительства Ямало-Ненецкого автономного округа от 30.03.2015 № 277-П
"Об утверждении Правил формирования и реализации Адресной инвестиционной программы Ямало-Ненецкого автономного округа на очередной финансовый год и на плановый период"
Номер опубликования: 8900201504030001
Дата опубликования: 03.04.2015
Страница №19 из 24:
Увеличить