Официальное опубликование правовых актов
ОФИЦИАЛЬНОЕ ОПУБЛИКОВАНИЕ
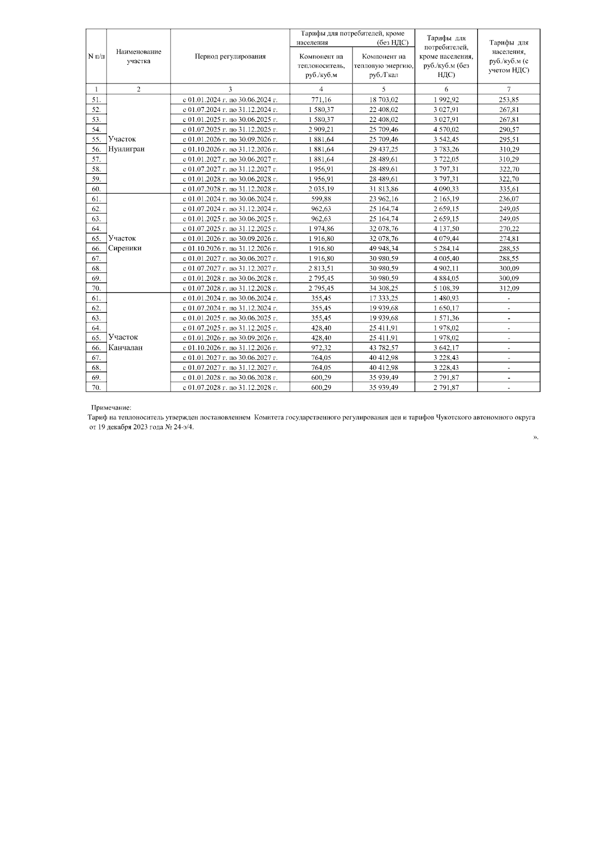
Постановление Комитета государственного регулирования цен и тарифов Чукотского автономного округа от 18.12.2025 № 32-э/3
"О внесении изменений в постановление Комитета государственного регулирования цен и тарифов Чукотского автономного округа от 20 декабря 2023 года № 26-э/8"
Номер опубликования: 8701202512240010
Дата опубликования: 24.12.2025
Страница №7 из 7:
Увеличить