Официальное опубликование правовых актов
ОФИЦИАЛЬНОЕ ОПУБЛИКОВАНИЕ
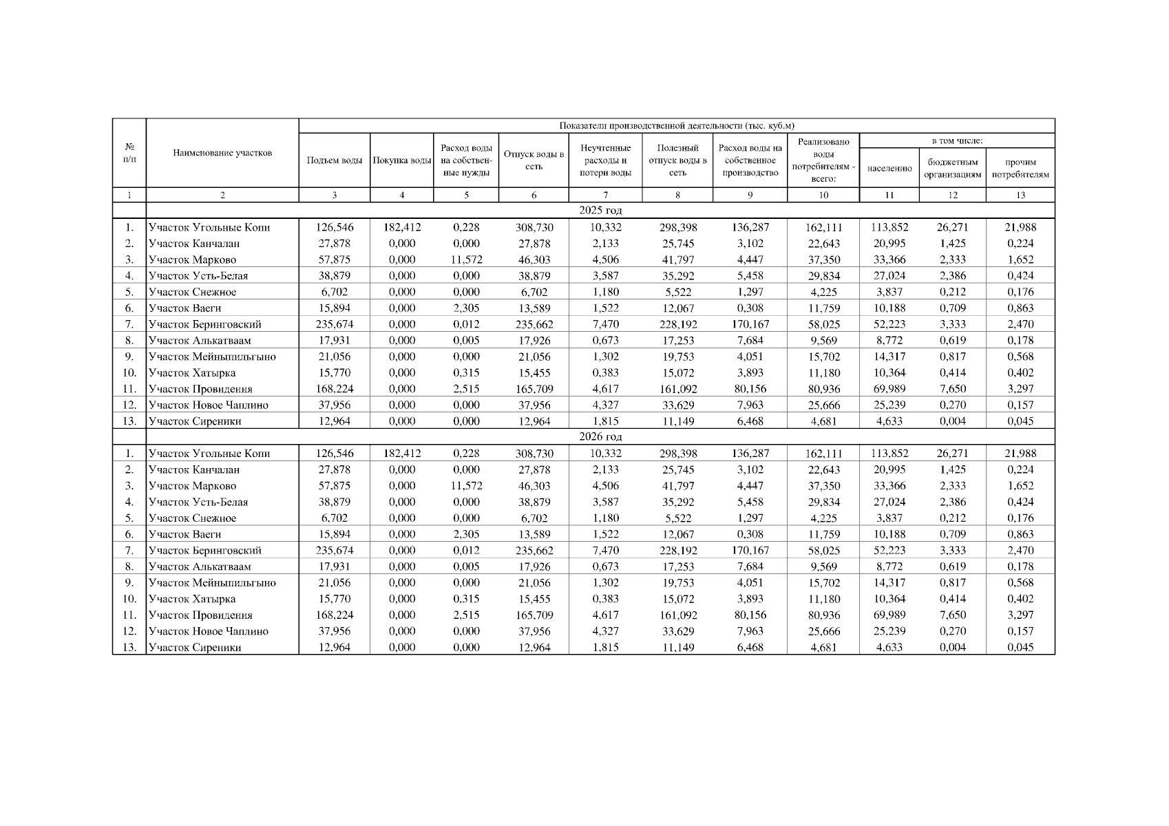
Постановление Комитета государственного регулирования цен и тарифов Чукотского автономного округа от 20.12.2024 № 24-к/20
"О внесении изменений в постановление Комитета государственного регулирования цен и тарифов Чукотского автономного округа от 20 декабря 2023 года № 27-к/1"
Номер опубликования: 8701202412250033
Дата опубликования: 25.12.2024
Страница №3 из 15:
Увеличить